使用“双独立样本每单元计数的误差幅度”可确定置信区间的样本大小。选择实验设计 > 样本大小分析器 > 置信区间 > 单样本每单元计数的误差幅度。探索在样本大小、显著性和区间的误差幅度之间如何权衡。
使用单选按钮、文本框和菜单设置研究假设并探索样本大小。对设置进行更改时,刻画器随之更新。或者,通过拖动刻画器曲线上的十字准线来更改设置。
区间类型
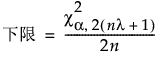
下限
指定单侧区间下限。
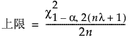
上限
指定单侧区间上限。
区间
指定双侧区间。
初步信息
Alpha
指定置信水平,1 - alpha。对于 95% 置信区间,默认 alpha 水平为 0.05。
每单元计数
指定假定的每单元计数。
该刻画器支持您直观演示样本大小假设对于误差幅度计算的影响。
对下列对象求解:
支持您求解样本大小。
界限
(当“区间类型”设置为“下限”或“上限”时可用。)指定估计方差的下限或上限。
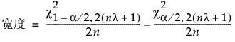
区间宽度
(仅当“区间类型”设置为“区间”时才可用。)指定区间的完全宽度。在其他所有参数保持不变时,区间宽度随着样本大小的增加而减小。
样本大小
指定构造区间所需的总观测数(试验、实验单元或样本)。
“分析器”红色小三角菜单和报表按钮提供更多选项:
模拟数据
打开基于分析器设置的模拟数据的数据表。查看所用设置的模拟响应列公式。
制作数据收集表
创建可用于数据收集的新数据表。该表包含有助于数据分析的脚本。
保存设置
将当前设置保存至“已保存设置”表。这样您就可以保存一套备选研究计划。请参见样本大小分析器中的已保存设置。
帮助
打开 JMP 帮助。
用于捕获每单元缺陷计数的区间计算基于使用 C2 分布的精确方法。请注意,区间界限并非围绕样本估计值对称。
区间宽度计算如下:

下限计算如下:

上限计算如下:
