使用“单样本均值的误差幅度分析器”确定单样本均值的置信、预测或容差区间的样本大小。选择实验设计 > 样本大小分析器 > 置信区间 > 单样本均值的误差幅度。探索在变异性假设、样本大小、显著性和误差幅度之间如何权衡。
使用单选按钮、文本框和菜单设置研究假设并探索样本大小。对设置进行更改时,刻画器随之更新。或者,通过拖动刻画器曲线上的十字准线来更改设置。
区间类型
单侧
指定单侧区间(上限或下限)
双侧
指定双侧区间。
区间用途
置信度
指定均值的置信区间。
预测
指定用于一个未来观测的预测区间。
容差
指定用于覆盖一定比例的总体的容许区间。
初步信息
Alpha
指定置信水平为 1 - alpha。对于 95% 置信区间,默认 alpha 水平为 0.05。
比例
(仅当为“区间用途”选择了“容许”时才可用。)指定容许区间要覆盖的总体比例。
总体标准差
指定计算的分布。
是
指定已知标准差,计算使用 z 分布。
否
指定未知标准差,计算使用 t 分布。
该刻画器支持您直观演示样本大小假设对于误差幅度计算的影响。
对下列对象求解:
支持您求解样本大小或假定的标准差。
误差幅度
指定区间的半宽。在其他所有参数保持不变时,误差幅度随着样本大小的增加而减小。
样本大小
指定构造区间所需的总观测数(试验、实验单元或样本)。
标准差 (s)
指定假定的总体标准差。
“分析器”红色小三角菜单和报表按钮提供更多选项:
模拟数据
打开基于分析器设置的模拟数据的数据表。查看所用设置的模拟响应列公式。
制作数据收集表
创建可用于数据收集的新数据表。该表包含有助于数据分析的脚本。
保存设置
将当前设置保存至“已保存设置”表。这样您就可以保存一套备选研究计划。请参见样本大小分析器中的已保存设置。
帮助
打开 JMP 帮助。
若 s 已知,则每种区间类型的计算都使用基于标准正态分布的过程,否则使用 t 分布过程或近似过程。
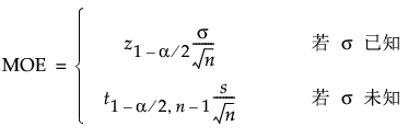
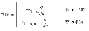
置信区间的误差幅度 (MOE) 计算如下:

界限计算如下:

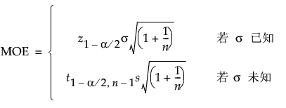
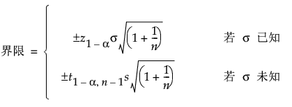
预测区间的误差幅度 (MOE) 计算如下:

界限计算如下:

对于总体的比例 q 上的容许区间,基于 Krishnamoorthy and Mathew (2009) 中所述的近似过程计算误差幅度或界限。
容许区间的误差幅度 (MOE) 计算如下:

界限计算如下:

其中 N 是表示渐近行为的适度大的整数值。JMP 将 N 的值设置为 2000。