使用“单样本比例的误差幅度”可确定置信区间的样本大小。选择实验设计 > 样本大小分析器 > 置信区间 > 单样本比例的误差幅度。探索在假设比例、样本大小、显著性和区间的误差幅度之间如何权衡。计算使用得分置信区间。
使用单选按钮、文本框和菜单设置研究假设并探索样本大小。对设置进行更改时,刻画器随之更新。或者,通过拖动刻画器曲线上的十字准线来更改设置。
区间类型
单侧
指定单侧区间(上限或下限)
双侧
指定双侧区间。
初步信息
Alpha
指定置信水平,1 - alpha。对于 95% 置信区间,默认 alpha 水平为 0.05。
该刻画器支持您直观演示样本大小假设对于误差幅度计算的影响。
对下列对象求解:
支持您求解样本大小或假定的比例。
误差幅度
指定区间的半宽。在其他所有参数保持不变时,误差幅度随着样本大小的增加而减小。
样本大小
指定构造区间所需的总观测数(试验、实验单元或样本)。
比例
指定区间的假设比例。
“分析器”红色小三角菜单和报表按钮提供更多选项:
模拟数据
打开基于分析器设置的模拟数据的数据表。查看所用设置的模拟响应列公式。
制作数据收集表
创建可用于数据收集的新数据表。该表包含有助于数据分析的脚本。
保存设置
将当前设置保存至“已保存设置”表。这样您就可以保存一套备选研究计划。请参见样本大小分析器中的已保存设置。
帮助
打开 JMP 帮助。
用于捕获总体比例的区间计算基于 Agresti-Coull 方法,请参见 Agresti and Coull(1998)。 该方法也称为得分置信区间。
置信区间的误差幅度 (MOE) 计算如下:

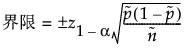
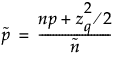
界限计算如下:

其中

且

且 q = 1 - a/2(对于区间),q = 1 - a(对于界限)。