使用“单样本比例的功效分析器”可确定关于一个比例的假设检验的样本大小。选择实验设计 > 样本大小分析器 > 功效 > 单样本比例的功效。探索在样本大小、功效、显著性和假设的待检差值之间如何权衡。样本大小与功效与以下假设检验相关联:

与双侧备择假设:

或与单侧备择假设:
或者 
其中 p 是总体比例,p0 是原假设比例。
使用单选按钮、文本框和菜单设置研究假设并探索样本大小。对设置进行更改时,刻画器随之更新。或者,通过拖动刻画器曲线上的十字准线来更改设置。
检验类型
指定单侧或双侧假设检验。
初步信息
Alpha
指定 I 类误差的概率,即当原假设为真时拒绝原假设的概率。它通常是指检验的显著性水平。默认 alpha 水平为 0.05。
检验方法
精确检验
指定基于 Clopper-Pearson 方法的计算。
正态近似
指定基于正态近似方法的计算。
提示:因为二项分布是离散的,对于小样本或接近 0 或 1 的比例,实际检验大小可能与指定的 Alpha 水平有很大不同。为了确保 alpha 水平等于或大于指定的水平,请使用“精确检验”。
该刻画器支持您直观演示假设的样本大小对于功效计算的影响。
对下列对象求解:
支持您在假定了比例或备择比例之后求解样本大小。
功效
指定当原假设为假时拒绝原假设的概率。在其他所有参数保持不变时,功效随着样本大小的增加而增加。
样本大小
指定您实验中需要的总观测数(试验、实验单元或样本)。
假设比例 (p0)
指定您为您的研究所预期或所假设的比例,即原假设值。
备择比例 (pA)
指定要对照进行检验的比例,即备择假设值。
“分析器”红色小三角菜单和报表按钮提供更多选项:
模拟数据
打开基于分析器设置的模拟数据的数据表。查看所用设置的模拟响应列公式。
制作数据收集表
创建可用于数据收集的新数据表。该表包含有助于数据分析的脚本。
保存设置
将当前设置保存至“已保存设置”表。这样您就可以保存一套备选研究计划。请参见样本大小分析器中的已保存设置。
帮助
打开 JMP 帮助。
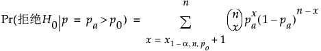
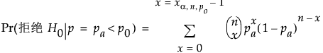
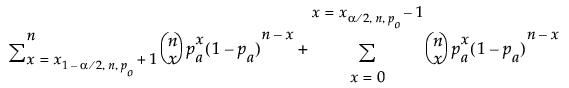
对于精确检验,基于备择假设的形式计算功效。
对于单侧、更高备择假设:

对于单侧、更低备择假设:

对于双侧备择假设:


其中,xq,n,p 是有 n 次试验且概率为 p 的二项分布的第 q 分位数。
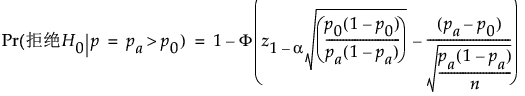
对于正态近似,基于备择假设的形式计算功效。
对于单侧、更高备择假设:

对于单侧、更低备择假设:

对于双侧备择假设:

