使用“双独立样本每单元计数的功效分析器”确定两组之间每单元计数检验的样本大小。选择实验设计 > 样本大小分析器 > 功效 > 双独立样本每单元计数的功效。探索在变异性假设、样本大小、功效和显著性之间如何权衡。样本大小与功效与以下假设检验相关联:

与双侧备择假设:

或与单侧备择假设:
或者 
其中,l1 和 l2 是每个组的每单元计数的比率。
使用单选按钮、文本框和菜单设置研究假设并探索样本大小。对设置进行更改时,刻画器随之更新。或者,通过拖动刻画器曲线上的十字准线来更改设置。
检验类型
指定单侧或双侧假设检验。
初步信息
Alpha
指定 I 类误差的概率,即当原假设为真时拒绝原假设的概率。它通常是指检验的显著性水平。默认 alpha 水平为 0.05。
假定比值
指定组 2 每单元计数与组 1 每单元计数的假定比。
该刻画器支持您直观演示假设的样本大小对于功效计算的影响。
总样本大小
指定您实验中需要的总观测数(试验、实验单元或样本)。选择锁定以锁定总样本大小。
对下列对象求解:
支持您求解组 1 中的样本大小、待检比值或每单元计数。
功效
指定当原假设为假时拒绝原假设的概率。在其他所有参数保持不变时,功效随着样本大小的增加而增加。
组 1 样本大小
指定实验中组 1 所需的单位数。
组 2 样本大小
指定实验中组 2 所需的单位数。
待检比
指定组 2 与组 1 每单元计数的备择比。
组 1 每单元计数
指定假定的组 1 每单元计数。假定的组 2 每单元计数由组 1 每单元计数与待检比值指定。
“分析器”红色小三角菜单和报表按钮提供更多选项:
模拟数据
打开基于分析器设置的模拟数据的数据表。查看所用设置的模拟响应列公式。
制作数据收集表
创建可用于数据收集的新数据表。该表包含有助于数据分析的脚本。
保存设置
将当前设置保存至“已保存设置”表。这样您就可以保存一套备选研究计划。请参见样本大小分析器中的已保存设置。
帮助
打开 JMP 帮助。
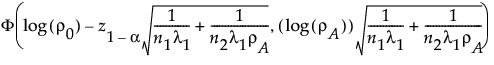
使用每单元缺陷计数比值检验双独立样本计数的功效计算基于 Poisson 比率之比的渐近正态分布。请参见 Gu, et al.(2008)、Li, et al.(2013) 或 Mathews (2010)。
对于单侧、下侧备择假设:


对于单侧、上侧备择假设:


对于双侧备择假设:



其中:
a 是显著性水平。
n1 和 n2 是组样本大小
r0 是组缺陷率之间的假定比
rA 是组缺陷率之间的备择比
l1 是组 1 的假定比率
z1-α 是正态分布的第 (1 - a) 分位数
F(x) 是正态分布的累积分布函数。