使用“双独立样本方差的功效分析器”可确定关于两个组的方差的假设检验的样本大小。选择实验设计 > 样本大小分析器 > 功效 > 两个独立样本方差的功效。探索在样本大小、功效、显著性和假设的待检差值之间如何权衡。样本大小与功效与以下假设检验相关联:

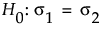
与双侧备择假设:

或与单侧备择假设:
或者 
其中,s1 是“组 1”的方差,s2 是“组 2”的方差。标准差偏离 s2 的差值,是您认为重要、需要检测的量(基于一组样本检测)。该差值表示为 s2/s1 的比值,或方差之比。对于相同的显著性水平和功效,检测小方差差值与检测大差值相比,前者需要更大的样本大小。假定关注的总体服从正态分布。
使用单选按钮、文本框和菜单设置研究假设并探索样本大小。对设置进行更改时,刻画器随之更新。或者,通过拖动刻画器曲线上的十字准线来更改设置。
检验类型
指定单侧或双侧假设检验。
初步信息
Alpha
指定 I 类误差的概率,即当原假设为真时拒绝原假设的概率。它通常是指检验的显著性水平。默认 alpha 水平为 0.05。
该刻画器支持您直观演示假设的样本大小对于功效计算的影响。
总样本大小
指定您实验中需要的总观测数(试验、实验单元或样本)。选择“锁定”以锁定总样本大小。
对下列对象求解:
支持您对样本大小或方差比求解。
组 1 样本大小
指定您实验中的“组 1”需要的总观测数(试验、实验单元或样本)。
组 2 样本大小
指定您实验中的“组 2”需要的总观测数(试验、实验单元或样本)。
方差比
指定方差比(组 2/组 1)。
注意:调整一个组的样本大小也会调整总样本大小,除非总样本大小被锁定。在这种情况下,调整一个组的样本大小也会调整另一个组的样本大小。使用文本框指定组样本大小。
“分析器”红色小三角菜单和报表按钮提供更多选项:
模拟数据
打开基于分析器设置的模拟数据的数据表。查看所用设置的模拟响应列公式。
制作数据收集表
创建可用于数据收集的新数据表。该表包含有助于数据分析的脚本。
保存设置
将当前设置保存至“已保存设置”表。这样您就可以保存一套备选研究计划。请参见样本大小分析器中的已保存设置。
帮助
打开 JMP 帮助。
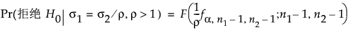
用于检验两个样本组方差比的功效计算基于标准 F 检验。计算取决于备择假设的形式。对于单侧、更高备择假设 (s1 > s2):

对于单侧、更低备择假设 (s1 < s2):

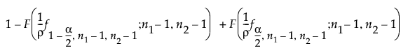
对于双侧备择假设 (s1 ≠ s2):


其中:
a 是显著性水平。
n1 和 n2 是组样本大小
r = s2/s1
f1-α,ν1,ν2 是自由度为 n1 和 n2 的 F 分布的第 (1 - a) 分位数。
F(x, n) 是自由度为 n 的 F 分布的累积分布函数。