“保存 X 矩阵”选项将包含矩量矩阵和模型矩阵的脚本保存到定制设计数据表中。这些矩阵用于计算“预测平均方差”,该方差显示在“设计评估”部分的“设计诊断”部分中。请参见 Goos and Jones (2011)。若设计属于裂区设计,则还会保存“V 求逆”脚本。“V 求逆”脚本包含响应的协方差矩阵的逆协方。
警告:对于包含名义型因子的设计,使用“保存 X 矩阵”选项保存的“模型矩阵”不是拟合线性模型时使用的编码矩阵。通过在运行“模型”脚本时获取的“拟合模型”报表中来选择选项“保存列”>“保存编码表”,您可以获取用于拟合模型的编码矩阵。
注意:您可以通过设置首选项始终保存矩阵脚本。选择文件 > 首选项 > 平台 > 实验设计。选中“保存 X 矩阵”。
模型矩阵描述实验设计。在模型矩阵中,每次试验都对应一行,“模型”部分中指定的每一个模型项都对应一列。对于每次试验,模型矩阵的相应行中都会包含模型项的编码值:
• 连续项按照从 -1 到 1 的范围来编码。
• 通过将 Gram-Schmidt 正交过程应用到线性模型拟合中使用到的编码向量来对名义项进行编码。
有关 Gram-Schmidt 正交过程的详细信息,请参见 Horn and Johnson (2012)。
注意:功效分析的编码与拟合线性模型的编码相匹配。有关用于拟合线性模型的名义型项的编码的信息,请参见《拟合线性模型》中的“名义型效应编码的统计详细信息”。
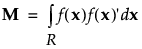
矩量矩阵依赖模型效应但不依赖设计。其定义如下:

其中,f(x) 表示与因子向量 x 的因子组合对应的模型效应,R 表示设计空间。有关矩量和设计矩阵的更多详细信息,请参见 Goos and Jones (2011) 和 Myers et al.(2009)。请注意,矩量矩阵在 Myers et al.(2009) 中称为区域矩量矩阵。
从“定制设计”红色小三角菜单中,选择保存 X 矩阵。创建设计和表之后,在定制设计表中,“矩量矩阵”和“模型矩阵”脚本以及“V 求逆”脚本(若设计为裂区)都将另存为表脚本。
• 右击并从“矩量矩阵”、“模型矩阵”或“V 求逆”脚本选择编辑。脚本将显示对应的矩阵。您可以将该矩阵复制到您编写的脚本中。
• 运行“矩量矩阵”脚本时,日志中显示矩量矩阵中的行数(称为“矩”)。
• 运行“模型矩阵”脚本时,日志中显示模型矩阵中的行数(称为 X)。
• 运行“V 求逆”脚本时,日志中显示逆协方差矩阵中的行数(称为“V 求逆”)。
本例演示模型矩阵脚本的用法:
提示:要查看日志,请选择视图 > 日志(在 macOS 上为窗口 > 日志)。
1. 选择实验设计 > 定制设计。
2. 添加 3 个连续因子并点击继续。
3. 点击交互作用 > 二阶。
4. 点击“定制设计”红色小三角并选择保存 X 矩阵。
5. 使用默认试验次数 (12),依次点击制作设计和制表。
6. 在“表”面板中,右击“矩量矩阵”脚本并选择编辑。
脚本显示在脚本窗口中。该脚本显示称为矩的矩量矩阵。
7. 若该脚本尚未打开,请选择视图 > 日志(在 macOS 上为窗口 > 日志)。
8. 在“表”面板中,点击“矩量矩阵”脚本旁边的绿色小三角。
日志中显示的行数为 N Row(Moments)=7。
9. 在“表”面板中,右击“模型矩阵”脚本并选择编辑。
脚本显示在脚本窗口中。该脚本显示称为 X 的模型矩阵。
10. 点击运行。
日志中显示的行数为 N Row(X)=12。
11. 要以数据表形式查看模型矩阵,请向脚本中添加以下行:
dt = New Table( "Model Matrix" );
dt << Set Matrix( X );
12. 点击运行。