本节介绍用于计算“过程能力”平台中的非正态分布的能力指标的两种方法。这两种方法分别为百分位数(亦称 ISO/分位数)方法和 Z 得分(亦称 Bothe/Z 得分)方法。为某个非正态过程变量选择分布时,可以拟合参数分布或非参数分布。您可以使用百分位数或 Z 得分方法来计算相关过程变量的能力指标。不过,除非数据量很大,否则非参数拟合可能无法精确反映分布尾部的行为。
注意:对于百分位数或 Z 得分方法,若数据服从正态分布,则能力公式简化为基于正态性的能力指标的公式。
这两种方法的描述使用以下符号:
LSL = 下规格限
USL = 上规格限
T = 目标值
百分位数方法用拟合分布的中位数替换了标准能力公式中的均值,用相应的百分位数极差替换了 6s 值范围。AIAG (2005) 中对该方法进行了说明。
用 Pα 表示拟合分布的第 a*100 百分位数。那么,百分位数方法能力指标定义如下:





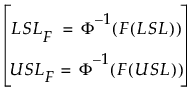
Z 得分方法将规格限转换为在标准正态尺度上具有相同概率的值。它计算与正态分布(其风险水平与拟合的非正态分布相同)对应的能力测度。
用 F 表示具有下规格限 (LSL) 和上规格限 (USL) 的某个过程变量的拟合分布。等效的标准正态规格限定义如下:

那么,Z 得分方法能力指标定义如下:




注意:由于 Cpm 是一个基于目标的测度,所以无法使用 Z 得分方法计算。
注意:对于很符合要求的数据,F(LSL) 或 F(USL) 可能相应地非常接近 0 或 1,以致于无法计算 LSLF 或 USLF。在这些情况下,JMP 默认情况下会从“Z 得分”方法自动切换为“百分位数”方法。这会提供更富有意义的能力指标。要禁用该默认设置,请选择“文件”>“首选项”>“平台”>“过程能力”。