发布日期: 09/18/2023

Cochran Q 统计量的统计详细信息

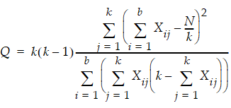
“多重对应分析”平台提供 Cochran Q 检验。Cochran Q 检验统计量计算如下:

Image shown here

其中

K 是处理数

b 是区组数

Xij 是第 k 个处理的第 i 个对象的响应(0 或 1)

N 是所有对象和处理的正值响应的总计

需要更多信息?有问题?从 JMP 用户社区得到解答 (community.jmp.com).