本节包含“模型驱动的多元控制图”平台中的贡献统计量的计算。
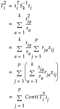
具有 p 个变量和 k 个成分的 PCA 或 PLS 模型的 T2 贡献计算如下:

其中:
ti = 第 i 个观测的 k 得分的向量
Sk = 历史观测的 k 得分的对角线样本协方差矩阵。对于 PCA 模型,Sk 是对角线特征值矩阵。
sa = Sk 的第 a 个对角线元素
rja = 对于 PCA 模型是第 a 个特征向量的第 j 个元素,对于 PLS 模型则是 Rk 载荷矩阵的第 a 列。Rk 是用于将得分矩阵 Tk 关联到 X 矩阵的矩阵,使得 Tk=XRk。
xij = 第 i 个观测的第 j 个变量的值。
注意:最后一个总和中的 p 项数是变量贡献。
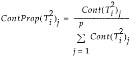
每个变量的贡献是其对每个得分的贡献之和,按标准化得分值来加权。若标准化得分值较大,且变量贡献较大,则认为变量对
的贡献较大。

变量 j 的贡献比例定义为:

注意:计算 T2 贡献比例时,JMP 会将负贡献归零。在 PCA 和 PLS 模型中,由于变量在 X 投影时的交互作用,可能会产生负贡献。负贡献清零,以确认表示占总的正贡献较大比例的变量贡献。
有关 PCA 贡献和负贡献的详细信息,请参见 Kourti and MacGregor (1996)。有关 PLS 贡献的详细信息,请参见 Li et al.(2009)。
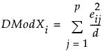
对于 PCA 和 PLS 模型,变量 j 对 DModXi 的贡献定义如下:

请注意,由于

变量 j 的贡献比例定义为:

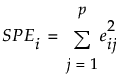
对于 PCA 和 PLS 模型,变量 j 对 SPEi 的贡献定义如下:

请注意,由于

变量 j 的贡献比例定义为:

得分贡献计算与 T2 贡献相同,但仅针对得分图中选定的维进行计算。