本节包含“分布”平台的“离散拟合”菜单中的选项的统计详细信息。
Poisson 分布只有一个尺度参数 l > 0。
pmf:
0 ≤ λ < ∞; x = 0,1,2,...
E(x) = l
Var(x) = l
由于 Poisson 分布是离散分布,叠加的曲线是一个阶梯函数,该函数在每个整数处跳跃。
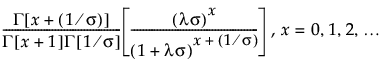
负二项分布用于对指定失败次数之前的成功次数建模。以下参数化包含均值参数 l 和散度参数 s。
pmf: 
E(x) = l
Var(x) = l + sl2
其中,Γ(·) 是 Gamma 函数。
负二项分布等价于 Gamma Poisson 分布。Gamma 分布对于以下情况很有用:数据是多个 Poisson(m) 分布的组合,每个 Poisson(m) 分布都具有不同的 m。
Gamma Poisson 分布的假设前提是:x|m 服从 Poisson 分布,m 服从 Gamma(a,t) 分布。Gamma Poisson 包含参数 l = at 和 s = t+1。参数 s 是一个离散参数。若 s > 1,则出现过度离散,这意味着 x 的变异比 Poisson 分布本身所解释的要大。若 s = 1,x 将简化为 Poisson(l)。
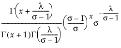
pmf:
0 < l; 1 ≤ s; x = 0,1,2,...
E(x) = l
Var(x) = ls
其中,Γ(·) 是 Gamma 函数。
Gamma Poisson 等价于 snegbin = (sgp - 1) / lgp 的负二项分布。
运行 JMP Samples/Scripts 文件夹中的 demoGammaPoisson.jsl,比较带有参数 l 和 s 的 Gamma Poisson 分布与带有参数 l 的 Poisson 分布。
零泛滥 (ZI) Poisson 分布的尺度参数 l > 0,零泛滥参数为 p。
pmf: 
E(x) = (1 - p)l
Var(x) = l(1 - p)(1 + lp)
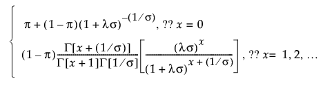
零泛滥 (ZI) Poisson 负二项分布的尺度参数 l > 0,散度参数 s > 0,零泛滥参数为 p。
pmf: 
E(x) = (1 - p)l
Var(x) = l(1 - p)[1 + l(s + p)]
“拟合二项”选项接受两种格式的数据:常数样本大小或包含样本大小的列。
pmf:
0 ≤ p ≤ 1; x = 0,1,2,...,n
E(x) = np
Var(x) = np(1-p)
其中,n 是独立试验数。
注意:二项参数的置信区间是得分区间。请参见 Agresti and Coull (1998)。
beta 二项分布对于以下情况很有用:数据是多个 Binomial(p) 分布的组合,每个 Binomial(p) 分布都具有不同的 p。从多个生产线组合而来的缺陷总数就是这样的例子,此时缺陷数均值 (p) 在不同生产线之间是不同的。
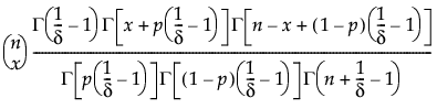
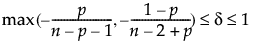
Beta 二项分布的假设前提是:x|p 服从 Binomial(n,p) 分布,p 服从 Beta(a,b) 分布。beta 二项分布具有参数 p = a/(a+b) 和 d = 1/(a+b+1)。参数 d 是一个离散参数。若 d > 0,则出现过度离散,这意味着 x 的变异比二项分布本身所解释的要大。若 d < 0,则出现离散不足。若 d = 0,x 呈 Binomial(n,p) 分布。仅当 n ≥ 2 时才存在 beta 二项分布。
pmf: 
;
; x = 0,1,2,...,n
E(x) = np
Var(x) = np(1-p)[1+(n-1)d]
其中,Γ(·) 是 Gamma 函数。
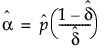
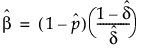
请记住 x|π ~ Binomial(n,π),同时 π ~ Beta(a,b)。参数 p = a/(a+b) 和 d = 1/(a+b+1) 由该平台估计得出。要得到 a 和 b 的估计值,请使用以下公式:


若 d 的估计值为 0,则该公式无效。在这种情况下,beta 二项分布简化为 Binomial(n,p) 分布,而且
是 p 的估计值。
beta 二项参数的置信区间是边侧似然区间。
运行 JMP Samples/Scripts 文件夹中的 demoBetaBinomial.jsl,比较带有离散参数 d 的 beta 二项分布与带有参数 p 且 n = 20 的二项分布。