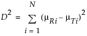
本节包含计算“拟合曲线”平台中无模型溶解分析中使用的因子的公式。这些公式使用以下符号:
μRi 是参考曲线批次在时间点 ti 处的溶解值的均值
μTi 是检验曲线批次在时间点 ti 处的溶解值的均值
i = 1, ..., N 是时间点数量
F1 差值因子测量每个时间点参照药片曲线与检验药片曲线之间的百分比差值。使用以下公式计算 F1:

F2 相似性因子测量参照药片曲线与检验药片曲线之间的溶解度百分比相似性。使用以下公式计算 F2 (Paixão et al. 2017):

其中:

p 是时间点数目
Mahalanobis 距离 M 测量参照药片曲线与检验药片曲线之间的多元距离。使用以下公式计算 M (Paixão et al. 2017):

其中:
R = [μR1,...,μRN]T
T = [μT1,...,μTN]T
Spooled = (SR + ST)/2
SR = 参考曲线值的协方差矩阵
ST = 检验曲线值的协方差矩阵
使用以下公式计算 10% 最大化差值:

其中,m 是 10 的 Nx1 向量。