本节包含“拟合模型”平台中计算的优势比的详细信息。
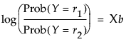
对于两个响应水平,Logistic 回归模型指定如下:
,其中 r1 和 r1 是两个响应水平
因此,优势比定义如下:

请注意 exp(bi(Xi + 1)) = exp(biXi) exp(bi)。这说明若 Xi 变化一个单位量,则优势乘以 exp(bi),我们将其标记为单位优势比。当 Xi 在整个范围内变化时,优势乘以 exp((X高 - X低)bi),我们将其标记为范围优势比。对于二值响应,响应水平交换后的对数优势比仅涉及参数符号的变化。因此,您可能需要报告值的倒数,以关注最后一个响应水平而非第一个响应水平。
二水平名义型效应的第一个和第二个水平分别编码为 1 和 -1,因此将关注范围优势比或其倒数。
若您选择“优势比”选项时未计算任何参数估计值的置信区间,则选择“优势比”选项将为优势比生成基于 Wald 的置信区间。
满足以下所有条件时选择“优势比”选项将为优势比生成基于刻画似然的置信区间:
• 选择了“似然比检验”选项
• 选择了“置信区间”选项
• 每个响应的参数数目少于 8
• 行数少于 1000。
在“优势比”报表底部说明用于计算优势比的置信区间的方法。