基本分析 > 分布 > “分布”平台的统计详细信息 > 预测区间的统计详细信息
发布日期: 09/18/2023

预测区间的统计详细信息

“分布”平台中的预测区间定义如下:

对于 m 个将来观测:

Equation shown hereEquation shown here

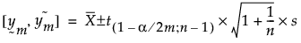
对于 m 个将来观测的均值:

Equation shown hereEquation shown here

对于 m 个将来观测的标准差:

Equation shown hereEquation shown here

其中,m = 将来观测数,n = 当前分析样本中的点数。

通过在分位数函数中使用 1-a 可形成单侧区间。

请参见 Meeker et al.(2017, ch. 4)。

需要更多信息?有问题?从 JMP 用户社区得到解答 (community.jmp.com).