发布日期: 09/18/2023

谱密度的统计详细信息

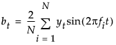
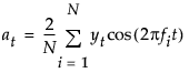
在“时间序列”平台中,傅里叶序列的系数的最小二乘估计值按以下方式计算:

Equation shown here

Equation shown here

之后,与 fi = i/N 进行组合形成周期图 I(fi) = (N/2)(ai2 + bi2),表示频率 fi 处的强度。

对周期图进行平滑处理,同时除以 (4p) 以统一尺度,得到谱密度。

需要更多信息?有问题?从 JMP 用户社区得到解答 (community.jmp.com).