基本分析
>
分布
>
“分布”平台的统计详细信息
> 标准误差条的统计详细信息
发布日期: 09/18/2023
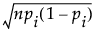
标准误差条的统计详细信息
“分布”平台中的标准误差条是使用标准误差
计算的,其中
p
i
=
n
i
/
n
。
需要更多信息?有问题?从 JMP 用户社区得到解答
(community.jmp.com)
.
本网站在启用 JavaScript 的情况下效果最佳。