基本分析 > 二元分析 > “二元”平台的统计详细信息 > “二元正态椭圆”报表的统计详细信息
发布日期: 09/18/2023

“二元正态椭圆”报表的统计详细信息

本节包含“二元”平台中的“二元正态椭圆”报表的详细信息。

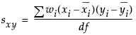
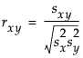
Pearson 相关系数表示为 r,计算如下:

Equation shown here 其中,Equation shown here

其中,wi 是第 i 个观测的权重值(若指定了权重列),或为 1(若未指定权重列)。

需要更多信息?有问题?从 JMP 用户社区得到解答 (community.jmp.com).