发布日期: 09/18/2023

分辨力比的统计详细信息

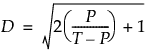
在“变异性图”平台中,分辨力比用于比较测量值的总方差 M 与测量值误差的方差 E。计算所有主效应(包括嵌套的主效应)的分辨力比。按以下方式计算分辨力比 D

Equation shown here

其中:

P = 因子的估计方差

T = 估计的总方差

需要更多信息?有问题?从 JMP 用户社区得到解答 (community.jmp.com).