本节定义构造 EWMA 图时所用的统计量。其中一些统计量还保存在使用“保存汇总”命令创建的数据表中。
EWMA 图上的第 i 个点计算如下:
EWMAi = lXi + (1 - l)EWMAi-1
其中:
l = Lambda 参数
Xi = 第 i 个样本值(或子组均值)
EWMAi-1 = 第 (i-1) 个 EWMA 值
当 i = 1 时,将 EWMA0 定义为“目标”值。
注意:若选定“空子组后重新开始 EWMA”选项,则空子组后面的 EWMAi-1 值为“目标”值。若未选定“空子组后重新开始 EWMA”选项,则空子组后面的 EWMAi-1 值是最近的非空子组的 EWMA 值。
EWMA 图上控制限的计算由“常数限值”选项的设置决定。
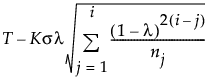
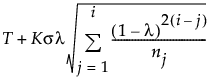
若未选定“常数限值”选项且子组大小不等,则 EWMA 控制限计算如下:
下控制限 =
上控制限 =
其中:
T = 目标值
K = sigma 乘数,且默认设置为 3
s = Sigma 值
i = 样本(或子组)数
ni = 子组 i 的大小
若未选定“常数限值”选项且子组大小相等,则 EWMA 控制限的公式简化如下:
下控制限 =
上控制限 =
其中:
T = 目标值
K = sigma 乘数,且默认设置为 3
s = Sigma 值
i = 样本(或子组)数
n = 每个子组的大小(若未指定子组,则为 1)
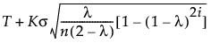
若选定“常数限值”选项,EWMA 控制限计算如下:
下控制限 =
上控制限 =
其中:
T = 目标值
K = sigma 乘数,且默认设置为 3
s = Sigma 值
n = 子组大小(若未指定子组,则为 1)
有关构造指数加权移动平均图的详细信息,请参见 Montgomery (2013)。