在“二元”平台中,“拟合线”选项为拟合点的直线查找参数 b0 和 b1,以使残差平方和最小化。第 i 行的模型表示为 yi = b0 + b1xi + ei。
线性拟合的均值置信限定义如下:

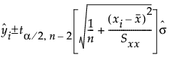
线性拟合的单值置信限定义如下:

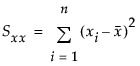
其中
是 xi(第 i 个观测)处的预测值
是 x 变量的均值




tα/2,n 是自由度为 n–2 的中心 t 分布的第 (a/2) 分位数
n 是样本大小。
注意:使用“均值置信限公式”和“单值置信限公式”选项,将任何模型拟合的限值公式保存到数据表中的新列。这些公式以矩阵格式保存。