基本分析
>
列联分析
>
“列联”平台的统计详细信息
> 优势比的统计详细信息
发布日期: 09/18/2023
优势比的统计详细信息
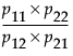
在“列联”平台中,优势比的计算方式如下:
其中
p
ij
是 2 x 2 表的第
i
行和第
j
列中的计数。
需要更多信息?有问题?从 JMP 用户社区得到解答
(community.jmp.com)
.
本网站在启用 JavaScript 的情况下效果最佳。