本节为“过程能力”平台中使用的分布提供密度函数 f,同时还为除 Johnson 和 SHASH 分布之外的所有分布提供期望值和方差。
,
,
, 
E(X) = m
Var(X) = s2
,
,
, 
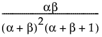
E(X) = 
Var(X) =
其中,B(·) 是 Beta 函数。
,
, 
E(X) = s
Var(X) = s2
,
,
, 
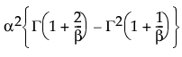
E(X) = as
Var(X) = as2
其中,Γ(·) 是 gamma 函数。
Johnson Su
,
,
, 
Johnson Sb
,
, 
Johnson Sl
,
, 
其中,f(·) 是标准正态概率密度函数。
,
,
, 
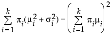
E(X) =
Var(X) =
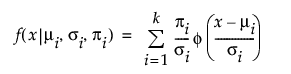
分布的“两正态混合”和“三正态混合”选项共享以下参数化:

E(X) =
Var(X) =
其中,mi、si 和 pi 分别是第 i 个组的均值、标准差和比例,并且 f(·) 是标准正态概率密度函数。对于“两正态混合”,k 等于 2。对于“三正态混合”分布,k 等于 3。为混合中的每个组估计单独的均值、标准差和占总体的比例。
,
, 0 < d, 0 < s
其中
f(·) 是标准正态 pdf

注意:当 g = 0 且 d = 1 时,SHASH 分布等价于位置为 q 且尺度为 s 的正态分布。
,
, 
E(X) =
Var(X) =
其中,G(·) 是 gamma 函数。