发布日期: 09/18/2023

Image shown here随机系数模型的统计详细信息

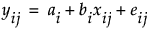
在“拟合模型”平台的“混合模型”特质中,标准随机系数模型指定每个对象的随机截距和斜率。用 yij 表示第 i 个对象的第 j 个观测的测量值。这样,随机系数模型可以指定如下:

Equation shown here

其中

Equation shown here

Equation shown here

Equation shown here

Equation shown here

Equation shown here

您可以重构模型来反映估计的固定成分和随机成分:

Equation shown here

其中

Equation shown here

Equation shown here

Equation shown here

按上文所述定义 Geij

需要更多信息?有问题?从 JMP 用户社区得到解答 (community.jmp.com).