在“多维尺度化”平台中,使用 Quasi-Newton 优化法通过最小化 Stress 函数来确定 MDS 坐标。这种最小化会根据拟合前确定的维数生成一组坐标值,以最小化多维空间里对象间的派生的邻近性测度值。若数据为有序型,则使用单调回归。否则使用标准最小二乘回归。
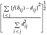
使用以下符号定义 Stress:
• i, j - 对象数的下标
• dij - 对象 i 与 j 之间的派生距离
dij - 对象 i 与 j 之间的观测相对距离
• f(drs) - 距离的变换函数
Stress 函数定义如下:
Stress = 
这一 Stress 测度亦称 Kruskal Stress I 型,或简称 Stress1。