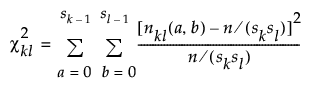
在“筛选设计”平台中,主效应筛选设计使用卡方准则实现因子间的有利平衡。假定某个设计具有 n 次试验和 p 个与设计矩阵列对应的因子。
• 将因子 k 和 l 的水平分别表示为 a = 0, 1, …, sk-1 − 和 b = 0, 1, …, sl-1。
• 将水平组合 (a,b) 出现在列 k 和 l 中的次数表示为 nkl(a,b)。
列 k 和 l 所证明的非正交测度可通过下面的表达式得出:

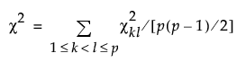
设计的平均非正交测度通过下面的表达式得出:

可以得到 χ2 的最大可能值,表示为
。设计的卡方效率定义如下:

卡方效率指示相对于成对水平显示极端失衡的设计,χ2 与零接近的程度。