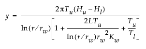
使用球堆积设计研究预定义模型。Worley (1987) 提出了一个通过钻孔(从地表到两个蓄水层钻一个孔)的水流模型。响应变量 y 是通过钻孔的流速,单位为米3/年,它的值通过以下等式计算:

在该模型中有八个因子:
rw = 钻孔的半径,为 0.05 到 0.15 米
r = 影响半径,为 100 到 50,000 米
Tu = 上部蓄水层的渗透系数,为 63,070 到 115,600 米2/年
Hu = 上部蓄水层的电位头,为 990 到 1100 米
Tl = 下部蓄水层的渗透系数,为 63.1 到 116 米2/年
Hl = 下部蓄水层的电位头,为 700 到 820 米
L = 钻孔长度,为 1120 到 1680 米
Kw = 钻孔导水系数,为 9855 到 12,045 米/年
您可以使用球堆积设计获取一组计算响应 y 的条件。然后您可以生成一个模型来估计在设计中使用的输入范围上的真实模型。评估估计的模型可以帮助了解八个因子各自对响应的影响。
要为钻孔模型创建球堆积设计,您可以使用已保存的因子设置的数据表。
1. 选择帮助 > 样本数据文件夹,然后打开 Design Experiment/Borehole Factors.jmp。
2. 选择实验设计 > 特殊目的 > 空间填充设计
3. 点击“空间填充设计”红色小三角菜单并选择加载因子。
图 21.21 “因子”面板(已加载了钻孔示例的因子值)
注意:将 r 和 rw 的对数作为因子。
4. 将“试验次数”设置为 32。
5. 点击球堆积以生成设计。
6. 点击制表以生成一个表,其中显示实验的设计设置。
注意:设计表包含“模型”表脚本。该脚本运行响应 y 的高斯过程模型。
7. (可选)要查看该示例的已完成的数据表,请选择帮助 > 样本数据文件夹,然后打开 Design Experiment/ Borehole Sphere Packing.jmp。
因为是从随机种子生成的设计,您获得的设置可能不同于完成的表中所示的那些设置。
切记确定性数据没有随机成分。相同的输入值生成相同的输出。因此,拟合的统计模型中的 p 值不具有通常的含义。大的 F 统计量(低 p 值)指示某模型项带来的效应。但是,您不能为效应或模型预测构造有效置信区间。
对确定性数据的模型拟合的残差并不是噪声的测度。残差是模型偏倚的测度。偏倚是真实值与预测值的差值。残差中的非重复模式指示应为模型考虑其他项来减小偏倚。
真实模型通常无法在简单解析表达式中提供。因此,仅知道观测的数据点处的预测偏倚。但是,在本示例中,真实模型的函数形式是已知的。在 Borehole Sphere Packing.jmp 数据表中,真实模型列包含已知函数的公式。通过该公式,您可以来刻画因子输入区域上的预测偏倚。
1. 选择帮助 > 样本数据文件夹,然后打开 Design Experiment/Borehole Sphere Packing.jmp。
2. 点击“模型”(“实验设计”中的高斯过程)脚本旁边的绿色小三角。
使用“高斯过程模型”报表探索因子和结果 Y 之间的关系。
3. 点击“‘Y’的高斯过程模型”旁边的红色小三角,然后选择保存预测公式。
4. 返回到 Borehole Sphere Packing.jmp 数据表。
5. 在数据网格中,选择真实模型和 Y 预测公式的列标题。
6. 右击并选择新建公式列 > 合并 > 差值。
这将创建包含偏倚的新列。
7. 从 Borehole Sphere Packing.jmp 数据表,选择图形 > 刻画器。
8. 选择真实模型-Y 预测公式并点击 Y,预测公式。
9. 选择展开中间公式。
该选项将偏倚显示为八个设计因子的函数。
图 21.22 为钻孔球堆积数据启动的刻画器
10. 点击确定。
刻画器默认为设计区域的中心。若没有偏倚,则所有刻画迹线在每个因子的值范围之间将为常数。在本示例中,变量 logRw、Kw 和 L 显示对偏倚的最大效应。
图 21.23 钻孔高斯过程模型(Y 轴设置为 -40 到 20)的偏倚刻画器
您可以使用刻画器探索整个域上预测偏倚的范围。要找到最小和最大偏倚点,请从“预测刻画器”红色小三角菜单中选择优化和意愿 > 意愿函数。请参见《刻画器指南》中的意愿刻画和优化。要评估设计点上的预测偏倚,请选择分析 > 分布来查看分布分析。
图 21.24 预测偏倚的分布
切记,在本示例中,真实模型是已知的。在很多应用中,任何因子设置的响应都是未知的。实验数据上的预测偏倚可能低估了整个设计域上的偏倚。