在“加速寿命试验设计”平台中,您可以选择对数正态或 Weibull 失效分布。本节包含每种分布的概率密度函数 (pdf) 和累积分布函数 (cdf) 的参数化。有关 Weibull 分布的详细信息,请参见《可靠性和生存方法》中的寿命分布。
对数正态分布通常用于失效时间数据范围是 10 的若干次幂的情形。该分布常常被视为许多较小的独立同分布的正数随机变量的乘积。当数据值的对数看起来呈正态分布时,该分布很适用。概率分布函数通常具有明显右偏的特征。
对数正态系列由位置参数 m 和形状参数 s 参数化。对数正态 pdf 和 cdf 如下所示,其中对数的底为 e:

,
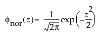
函数

和

分别为标准正态分布 (N(0,1)) 的 pdf 和 cdf。
Weibull 分布可用于对具有升高或下降危险率的失效时间数据建模。由于该分布可基于形状参数值来对许多不同类型的数据极为灵活地建模,所以它常用在可靠性分析中。
Weibull pdf 和 cdf 通常表示如下:


其中,a 是尺度参数,b 是形状参数。当 b = 1 时,Weibull 分布简化为指数分布。
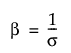
在 JMP 中,Weibull 参数化将 s 定义为尺度参数,将 m 定义为位置参数。这些与 a 和 b Weibull 参数化的关系如下:

且

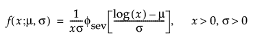
使用这些参数,Weibull 分布的 pdf 和 cdf 表示为对数变换的最小极值分布 (SEV),该分布使用位置尺度分布参数化(m = log(a),s = 1/b):


其中

且

分别为标准化最小极值(m = 0、s = 1)分布的 pdf 和 cdf。