固定效应参数估计值“混合模型”特质中的“固定效应参数估计值”报表提供在模型中指定的固定效应参数的详细信息。该报表在单独的面板中包含指标和效应编码的参数估计数。每个面板还包含对应于每个编码的负对数似然值的两倍的值。指标编码参数化显示基于一个模型的固定效应的参数估计值,在该模型中,名义型固定效应列使用指标 (SAS GLM) 参数化进行编码并作为连续列处理。有序型列仍使用通常的 JMP 编码方案保持编码。因子模型对 SAS GLM 和 JMP 编码方案进行了说明。
警告:“指标编码”面板中给出的标准误差、t 比和其他结果不同于“效应编码”面板中的相应数据。这是因为这些估计值估计的是不同的参数。
“固定效应参数估计值”报表包含以下列:
项
与估计参数对应的模型项。第一个项始终是截距,除非在“拟合模型”启动窗口中选择了“无截距”选项。默认情况下,属于高阶项一部分的连续列被中心化。名义型或有序型效应的水平值显示在括号中。有关名义型和有序型项的编码的信息,请参见因子模型。
注意:若连续列涉及随机效应,则该列不会位于中心,即使选择了“模型规格”红色小三角菜单中的“中心多项式”选项也是如此。
估计值
每个项的参数估计值。这是模型中项的系数的估计值。
标准误差
参数估计值的标准误差的估计值。
分母自由度
效应检验的分母自由度,即误差的自由度。使用 Kenward-Roger 一阶近似计算分母自由度。请参见Kackar-Harville 校正的统计详细信息。
t 比
检验参数的真实值是否为 0。t 比是估计值与其标准误差之比。在有关模型的一般假设下,t 比在原假设下服从 Student t 分布。
概率>|t|
t 比的双侧检验的 p 值。
95% 下限
参数的 95% 置信下限。通过从“模型规格”红色小三角菜单中选择“设置 Alpha 水平”,您可以在“拟合模型”窗口中更改 a 水平。
95% 上限
参数的 95% 置信上限。通过从“模型规格”红色小三角菜单中选择“设置 Alpha 水平”,您可以在“拟合模型”窗口中更改 a 水平。
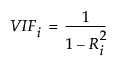
VIF
(仅在“效应编码”面板中可用。)模型中每个项的方差膨胀因子。高 VIF 指示模型中的项存在共线性问题。
第 i 个项 xi 的 VIF 定义如下:

其中,Ri 2 是作为其他解释变量函数的 xi 的回归的 R 方或多重判定系数。仅当您在报表中右击并选择“列”>“VIF”时才显示该列。
未编码的估计值
按“编码”列属性定义的采用原始尺度的每个项的参数估计值。仅当至少有一个效应列包含“编码”列属性并且适用某些条件时,该选项才可用。请参见禁止编码。