该表列出每个杂交的各种统计量:
杂交
该列列出杂交编号,从 1 开始,最多到杂交合计。
母本性别
该列列出初始杂交中母本的性别。该列名根据在杂交选项中输入的列名进行更改。在该示例中,列名为性别,因此显示母本性别。它始终是“母本”+ 杂交选项中的列名。
父本性别
该列列出初始杂交中父本的性别。该列名根据在杂交选项中输入的列名进行更改。在该示例中,列名为性别,因此显示父本性别。它始终是“父本”+ 杂交选项中的列名。
世代
该列列出特定后代所属的世代。
次要等位基因频率 (MAF) 均值
该列显示跨所有标记的平均 MAF。MAF 表示观测总体中每个标记的次要等位基因的比例。假定双等位基因基因座 M 具有等位基因 M1 和 M2。因此,N 个偶数 k 倍体生物体的样本可以具有 k + 1 个不同的基因座的基因型。计数为 i (i = 0, 1, 2, …, k) 的等位基因 M1 和计数为 j (j = 0, 1, 2, …, k) 的等位基因 M2 的个体数量用 Nij 表示。等位基因 M1 的计数 n1 可以直接通过求和得到:n1 = 0 × N00 + 1 × N10 + 2 × N20 + … + k× Nk0。等位基因 M1 的样本频率记作 p1 = n1 / (k × n),等位基因 M2 的频率记作 p2 = 1 - p1,每个携带 u 份等位基因 M1 和 v 份等位基因 M2 的基因型的样本频率记作 Pij = Nij / n。
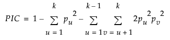
多态信息含量 (PIC) 均值
该列显示跨所有标记的平均 PIC。PIC (Botstein et al., 1980; Hilderbrand, Torney, and Wagner, 1992) 测量在给定父本、母本和子代的标记基因型的情况下,特定亲本传递给其子代的等位基因的不同基因型的概率。

杂合度 (HET) 均值
该列显示跨所有标记的平均 HET。杂合度有时也称为观察到的杂合度,它是杂合个体在观察到的总体中的比例。

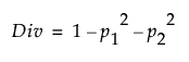
等位基因多样性均值
该列显示跨所有标记的平均等位基因多样性。等位基因多样性有时也称为预期杂合度,它是 Hardy-Weinberg 平衡保持时数据集中杂合个体的预期比例。

预测公式: 性状均值
该列列出每一世代中每个杂交的后代的预测性状值的均值。
预测公式: 性状均值的标准误差
该列列出每一世代中每个杂交的后代的预测性状值的均值的标准误差。该值提供期望变异性的测度。