发布日期: 03/04/2025

梯度

在选择模型中,选择“按测试对象保存梯度”选项后,您所获得的梯度值是用于生成估计值的优化过程中按测试对象聚合的 Newton-Raphson 步长。在估计中,总梯度为零,D = H-1g = 0,其中 g 是最大似然估计中的对数似然函数的总梯度,H-1 是 Hessian 函数的反函数或对数似然函数的二阶偏导数负数的反函数。

但是,取消聚合 D 将生成以下结果:

D = SijDij = SH-1gij = 0,

其中,i 是测试对象索引,j 是每个测试对象的选择响应索引,Dij 是基于每次试验的偏 Newton-Raphson 步长,gij 是按试验排列的对数似然函数的梯度。

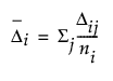
然后,每个测试对象的平均梯度步长可以按以下公式计算:

此处显示图片,

其中 ni 是每个测试对象的试验次数。Di 与测试对象 i 对最终参数估计的影响力度有关。若各组测试对象确实有不同的偏好结构,其对参数估计能够产生较强的影响力度,因此可用于对测试对象聚类。Di 即为保存的梯度力。接下来您便可以使用“聚类”平台对这些值进行聚类。

需要更多信息?有问题?从 JMP 用户社区得到解答 (community.jmp.com).