发布日期: 03/04/2025

最大熵

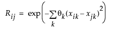
假定数据来自正态 (m, s2 R) 分布,最大熵设计使实验的 Shannon 信息(Shewry 和 Wynn (1987))最大化,其中

此处显示图片

是两个不同设计点 xixj 上响应值的相关性。在计算上而言,这些设计使 |R|(样本的相关性矩阵的行列式)最大化。若 xixj 相距较远,则 Rij 接近 0。若 xixj 彼此紧挨,则 Rij 接近 1。

需要更多信息?有问题?从 JMP 用户社区得到解答 (community.jmp.com).