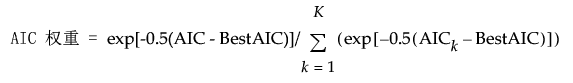
“时间序列”平台中的“模型比较”报表包含一个拟合统计量表和针对各个模型的图。每次拟合新模型时,将一个新行添加到“模型比较”表,并使用唯一的颜色编码。“模型比较”表汇总每个模型的拟合统计量,用于比较针对同一时间序列拟合的几个模型。默认情况下,这些模型按 AIC 统计量的升序排序。要按不同统计量对模型排序,请右击“模型比较表”中的任意列并选择“按列排序”。或者,您还可以点击列标题进行排序。有关拟合统计量的定义,请参见“模型汇总”表。对“模型比较表”是唯一的一个拟合统计量是“权重”。该拟合统计量是标准化的 AIC 权重。按以下方式计算模型的 AIC 权重:

K 是模型总数,AICk 是模型 k 的 AIC 值,BestAIC 是具有最小 AIC 值的模型的 AIC 值。
若指定保留集,则对训练数据计算的拟合统计量不会显示在“模型比较”表中。相反,会计算以下量度来确定各模型对保留集的预测性能:均方根误差 (RMSE)、均方误差 (MSE)、平均绝对百分比误差 (MAPE)和平均绝对误差 (MAE)。默认情况下,这些模型按 RMSE 统计量的升序排序。要按不同统计量对模型排序,请右击“模型比较表”中的任意列并选择“按列排序”。或者,您还可以点击列标题进行排序。有关拟合统计量的定义,请参见“模型汇总”表。
警告:若未指定保留集但要拟合状态空间平滑模型和 ARIMA 模型的组合,则“模型比较”表顶部会显示警告消息。在这种情况下,状态空间平滑模型与 ARIMA 模型不具有可比性,因为似然值和基于似然的信息准则(如 AIC 统计量)在两个不同类型的模型之间不具有可比性。不过,若指定保留集,则可以比较模型,因为使用了 RMSE 统计量。
图 18.12 “模型比较”表
您可以使用报表复选框选择在报表窗口中显示的完整模型报表。两个模型图显示在“模型比较”表右侧。顶部图是数据、预测和预测限的时间序列图。它的下面是残差的自相关性和偏自相关性函数图。您可以使用图形复选框选择在模型图上显示的模型。
图 18.13 模型图
“模型比较”报表中的每个模型具有以下红色小三角菜单选项:
拟合新模型
打开模型的一个规格窗口。您可以更改设置以拟合另一模型。
模拟一次
(若指定了保留集,则不可用。)向时间轴的上端提供一次模型模拟。该模拟显示在“模型比较”时间序列图上。
模拟多次
(若指定了保留集,则不可用。)向时间轴的上端提供指定次数的模型模拟。这些模拟显示在“模型比较”时间序列图上。
删除模型模拟
(若指定了保留集,则不可用。)删除模型的模拟。
删除全部模拟
(若指定了保留集,则不可用。)删除所有模型的模拟。
生成模拟
(若指定了保留集,则不可用。)生成模型的模拟,并将结果储存在数据表中。您可以指定随机种子、模拟次数和预测周期数。
设置种子
(若指定了保留集,则不可用。)指定用于生成模拟轨迹的种子。
删除拟合
从报表窗口中删除相应模型。
删除所有模型
从报表窗口中删除“模型比较”表中列出的所有模型。
删除未选定项
从报表窗口中删除所有未选中“报表”复选框的模型。
删除选定项
从报表窗口中删除所有选中“报表”复选框的模型。
隐藏所有报表
从报表窗口中隐藏“模型比较”表中列出的所有模型。这相当于取消选中所有“报表”复选框。
隐藏所有图形
从模型图中隐藏“模型比较”表中列出的所有模型。这相当于取消选中所有“图形”复选框。
注意:“时间序列”平台将排除行视为缺失值。若数据表中的最后几个观测被排除或缺失,则“模型比较”报表中的模拟选项将无法正常工作。该模拟过程使用时间序列的最后几个观测。若缺少最后几个观测,则模拟会在将来生成所有缺失值。