原始预测变量的参数估计值在“广义回归”报表中,“原始预测变量的参数估计值”部分提供模型中所有参数的估计值和其他结果。初始表包括模型中的预测变量的系数。另有一个附加表包括尺度、散度或零泛滥参数之类的其他模型参数。请参见指定分布。两个表都包括相同的结果列。
提示:您可以点击“原始预测变量的参数估计值”报表中的项来突出显示“解路径”图中的相应路径。同时选定数据表中的对应列。这在运行进一步的分析时很有用。按 Shift 键并点击各项以选择多行。
“原始预测变量的参数估计值”报表给出用原始(未中心化和统一尺度的)预测变量表示的模型的参数估计值。
该报表提供以下信息:
项
模型项的列表。对于使用“高级控件”选项强制进入模型的任何项,其旁边会显示“强制进入”。
估计值
对应于用原始测量值表示的模型项的参数估计值。
标准误差
估计值的标准误差。这是使用 M 估计和夹层公式(Zou 2006 和 Huber and Ronchetti 2009)得到的。
t 比或 Wald 卡方
检验每个参数的真实值是否为 0 的检验统计量。若指定的“估计方法”不是惩罚回归方法,指定了“正态”分布且指定了无删失,此时会显示“t 比”列。否则,将显示“Wald 卡方”列。请参见“估计方法”选项。
概率>|t| 或概率 > 卡方
实际参数值为零(而不是双侧备择假设下它不为零)的检验的 p 值。若指定的“估计方法”不是惩罚回归方法,指定了“正态”分布且指定了无删失,此时会显示“概率>|t|”列。否则,显示“概率 > 卡方”列。请参见“估计方法”选项。
95% 下限
参数的 95% 置信区间的下限。通过从“模型规格”红色小三角菜单中选择“设置 Alpha 水平”,您可以在“拟合模型”窗口中更改 a 水平。
95% 上限
参数的 95% 置信区间的上限。通过从“模型规格”红色小三角菜单中选择“设置 Alpha 水平”,您可以在“拟合模型”窗口中更改 a 水平。
未编码的估计值
(仅当您在参数估计值表中右击并选择“列”>“未编码的估计值”时才显示。)采用未编码尺度的每个项的参数估计值。仅当至少有一个效应列包含“编码”列属性并且适用某些条件时,该选项才可用。请参见禁止编码。
奇异性详细信息
(仅当模型项之间存在线性相依性时可用。)模型项所满足的线性函数。
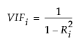
VIF
(仅当分布为“正态”时才可用。)仅当您在参数估计值表中右击并选择“列”>“VIF”时才显示。)显示模型中每个项的方差膨胀因子 (VIF)。高 VIF 值指示模型中的项存在共线性问题。
第 i 个项 xi 的 VIF 计算如下:

其中,Ri 2 是作为其他解释变量函数的 xi 的回归的 R 方。