在“拟合最小二乘法”报表中,“参数估计值”选项显示模型参数的估计值。对于每个参数,提供假设该参数等于 0 的 t 检验。
注意:尽量获取并检验估计值,即便模型项之间存在线性相依性也不例外。此类估计值标记为“有偏”或“清零”。请参见模型项之间具有线性相依性的模型。
项
与估计参数对应的模型项。第一个项始终是截距,除非在“拟合模型”启动窗口中选定了“无截距”选项。连续效应以数据表列的名称显示。请注意,属于高阶项一部分的连续列可能被中心化。名义型或有序型效应的水平值显示在括号中。有关名义型和有序型项的编码的信息,请参见名义型效应编码的统计详细信息和因子模型。
估计值
每个项的参数估计值。这些值是模型系数的估计值。若模型项之间存在线性相依性,这些估计值可能标记为“有偏”或“清零”。请参见模型项之间具有线性相依性的模型。
标准误差
每个估计参数的标准误差的估计值。
t 比
检验每个参数的真实值是否为 0。t 比是估计值与其标准误差之比。在有关模型的一般假设下,t 比在原假设下服从 Student t 分布。
概率>|t|
实际参数值为零(而不是双侧备择假设下它不为零)的检验的 p 值。
95% 下限
参数估计值的 95% 置信下限。仅当已选定“回归报表”>“显示所有置信区间”选项或是在报表中右击并选择“列”>“95% 下限”时,该列才显示。
95% 上限
参数估计值的 95% 置信上限。仅当已选定“回归报表”>“显示所有置信区间”选项或是在报表中右击并选择“列”>“95% 上限”时,该列才显示。
标准 Beta
回归模型的参数估计值,模型中所有项都标准化为均值等于 0 且标准差等于 1。仅当您在报表中右击并选择“列”>“标准 Beta”时才显示该列。
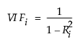
VIF
模型中每个项的方差膨胀因子。高 VIF 指示模型中的项存在共线性问题。
第 i 个项 xi 的 VIF 定义如下:

其中,Ri 2 是作为其他解释变量函数的 xi 的回归的 R 方或多重判定系数。仅当您在报表中右击并选择“列”>“VIF”时才显示该列。
设计标准误差
参数估计值的相对方差的平方根 (Goos and Jones 2011, p. 25):

这些值是标准误差除以 RMSE 的结果。仅当您在报表中右击并选择“列”>“设计标准误差”时才显示该列。
未编码的估计值
采用原始尺度的每个项的参数估计值。仅当至少有一个效应列包含“编码”列属性并且适用某些条件时,该选项才可用。请参见禁止编码。