“决策树”和“Bootstrap 森林法”方法的预测概率通过如下所述的“概率”统计量来计算。
对于“决策树”中的分类响应,使用“显示拆分概率”命令可以显示以下统计量:
比率
在相应的节点处每个响应水平的观测比例。
概率
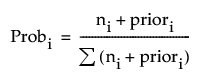
树中该节点的预测概率。用于计算第 i 个响应水平在给定节点处的“概率”的方法定义如下:

其中,求和计算针对的是所有响应水平;ni 是第 i 个响应水平在节点处的观测数,priori 是第 i 个响应水平的先验概率,它采用以下方式计算:
priori = lpi+ (1-l)Pi
其中,pi 是父节点的 priori,Pi 是父节点的 Probi,l 是权重因子,它当前设置为 0.9。
计算“概率”的方法可确保预测概率始终为非零值。