在“拟合最小二乘法”报表中,“Press”选项表示预测误差平方和统计量,该统计量是使用留一法交叉验证计算的预测误差估计值。在留一法交叉验证中,轮流删除每个观测。考虑一个特定的观测。在保留那个观测的情况下拟合模型,然后为该观测获取预测值。计算该观测的残差。该过程应用到所有观测,并且对残差进行平方再求和计算来给出 Press 值。
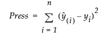
具体而言,按以下方式给出 Press 误差平方和 (SSE) 统计量:

其中,n 是观测数,yi 是第 i 个观测的观测响应值,
是第 i 个观测的预测响应值。这些值基于不含该观测的模型拟合。
Press RMSE 定义为
。
Press R 方定义为 1 - Press/SS总和。
Press 报表还包含总体模型的 SSE、RMSE 和 R 方值。总体模型的统计量包含在标签为“普通”的行中。