标准化 X在“拟合模型”窗口中选择“偏最小二乘”特质时,默认选定“标准化 X”选项。这确保作为模型效应输入的所有列以及交互作用项或多项式项涉及的所有列被标准化。
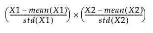
假定您有两个列 X1 和 X2,并且在“拟合模型”窗口中输入交互作用项 X1*X2 作为模型效应。当选定“标准化 X”选项时,在形成交互作用项前已将 X1 和 X2 中心化和统一尺度。形成的交互作用项按以下方式计算:

在进入模型前,根据您对中心化和统一尺度选项的选择,将所有模型效应中心化或统一尺度。
若未选择“标准化 X”选项但是选择了中心化和统一尺度,则按以下方式计算进入模型的项:
