“时间序列”平台中的每个“状态空间平滑”报表都有可标识该模型的唯一分级显示项名称。每个模型都添加到“模型比较”表中。若为“模型比较”表中的某个模型选中“报表”复选框,则会显示“状态空间平滑”报表。包括以下报表:
模型类型
根据误差、趋势和季节性来描述序列的选定模型。
模型汇总
包含模型的拟合统计量。在下面的公式中,n 是序列的长度,k 是模型中的拟合参数数目。
–2 对数似然
在最佳拟合参数估计值处求值的负对数似然函数的两倍。值越小表示拟合效果越好。请参见《拟合线性模型》似然、AICc 和 BIC中的。
AIC
Akaike 信息准则 (AIC) 值,计算为 −2对数似然 + 2k。AIC 值越小指示拟合效果越好。
BIC
Schwarz Bayes 准则 (SBC) 值,计算为 −2对数似然 + k*ln(n)。SBC 值越小指示拟合效果越好。Schwarz Bayesian 准则等价于 Bayesian 信息准则 (BIC)。
参数数目
信息准则计算中的参数数目。该数目是似然函数中的参数数目,即预测公式中的参数数目加 1。
注意:参数数目是参数估计值表中的参数个数。
Sigma
一步超前预测标准差的估计值。
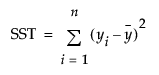
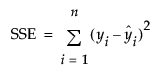
R 方
R 方值,计算如下:

其中


是“单步”预测
是均值
若模型拟合序列效果不好,则模型误差平方和 SSE 可能大于总平方和 SST,导致 R2 为负数。
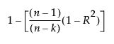
调整 R 方
调整的 R2 值,计算如下:

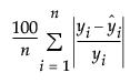
均值绝对百分误差
绝对百分比误差均值,计算如下:

其中
是“单步”预测
均值绝对误差
绝对误差均值,计算如下:

其中
是“单步”预测
参数估计值
显示模型中每个参数的估计值、标准误差和 95% 置信区间的表。
预测
显示时间序列的观测值和预测值的图。请参见预测。
一步超前预测误差
随时间变化的一步超前预测误差图。对于每个时间点 t,误差计算为 t 处的时间序列的观测值减去 t 处的一步超前预测值。若指定保留集,则仅为训练数据计算误差。还显示这些误差的自相关性和偏自相关性报表。
维持序列的预测误差
(仅当指定保留集时才可用。)保留集中的观测的预测误差图。还显示这些误差的自相关性和偏自相关性报表。
成分状态
一个报表,其中包含模型的每个状态的图以及相应的模型公式。每个图都包括序列的状态估计值和状态预测。若指定了保留集,则状态估计值用于训练部分,而状态预测用于保留部分。若未指定保留集,则状态估计值针对时间序列中直到最后一个观测之前的部分,而状态预测针对时间序列最后一个观测之后的部分。一个模型最多可以有三种状态:水平、趋势和季节性。
“成分状态”红色小三角菜单包含一个“保存状态”选项。选择该选项可将每个时间点的成分状态保存至单独的数据表。
乘法误差模型的一步超前相对预测误差
(仅可用于乘法误差模型。)随时间变化的一步超前相对预测误差图。对于每个时间点 t,误差计算为 t 的一步超前预测误差除以 t 的一步超前预测值。
每个状态空间平滑报表都有一个包含以下选项的红色小三角菜单:
显示点
显示或隐藏预测图中的数据点。
显示预测区间
显示或隐藏预测图中的预测区间。
保存列
创建一个新数据表,它包含表示模型结果的列。
删除拟合
从报表中删除单个模型拟合。