发布日期: 03/04/2025

特性列表格式的统计详细信息

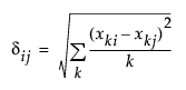
若数据表为特性列表,它将转换为距离矩阵,然后应用“多维尺度化”。使用欧氏距离计算距离矩阵。对于每对项,使用以下公式定义项之间的距离:

此处显示图片

其中 k 是特性数目。假定测度都使用相同的尺度。

注意:有关 MDS 平台的高级示例,请参见 San Francisco Crime Distances.jmp 样本数据表和该表的源脚本。该脚本使用配对相关性创建距离矩阵。生成的距离矩阵随后用于探索犯罪类别之间的关系。

需要更多信息?有问题?从 JMP 用户社区得到解答 (community.jmp.com).