本节包含有关“拟合模型”平台的“多元方差分析”特质中使用的典型计算的详细信息。
当您为给定检验选择“检验详细信息”选项后,特征值、典型相关性和特征向量都会显示在报表中。
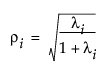
“检验详细信息”选项所生成的典型相关性计算如下:

其中,li 是计算多元检验统计量所使用的 E-1H 矩阵的第 i 个特征值
标记为“特征向量”的矩阵是 V 矩阵,该矩阵是给定检验的 E-1H 的特征向量矩阵。
注意:给定检验的 E 和 H 矩阵指的是 M′EM 和 M′HM,依据初始 E 和 H 矩阵。M 矩阵由响应设计定义。本节中使用的 E 和 H 在多元检验的统计详细信息中定义。
效应的总样本重心和重心值计算如下:
总体 = 
效应j = 
其中

N 是观测数
vi 是 V(即给定检验的 E-1H 特征向量矩阵)的第 i 列。
是第 j 个效应的多元最小二乘均值
是响应的总均值
g 是大于 0 的 E-1H 的特征值数
r 是 X 矩阵的秩
注意:给定检验的 E 和 H 矩阵指的是 M′EM 和 M′HM,依据原始的 E 和 H 矩阵。M 矩阵由响应设计定义。本节中使用的 E 和 H 在多元检验的统计详细信息中定义。
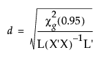
效应的重心半径计算如下:

其中,g 是大于 0 的 E-1H 的特征值数,分母中的 L 矩阵来自多元最小二乘均值计算。
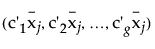
典型 Y 值计算如下:

其中
Y 是响应变量矩阵
M′ 是转置的响应设计矩阵
V 是给定检验的 E-1H 的特征向量矩阵
注意:给定检验的 E 和 H 矩阵指的是 M′EM 和 M′HM,依据原始的 E 和 H 矩阵。M 矩阵由响应设计定义。本节中使用的 E 和 H 在多元检验的统计详细信息中定义。
为与大于零的特征值对应的特征向量保存典型 Y 值。