本节提供基于您在“层次聚类”启动窗口中选择的方法计算距离所用的公式。有关方法说明,请参见方法。
公式使用以下符号,小写符号通常与观测有关,大写符号通常与聚类有关:
n 是观测数
v 是变量数
xi 是第 i 个观测
CK 是第 K 个聚类,是 {1, 2,..., n} 的子集
NK 是 CK 中的观测数
是样本均值向量
是聚类 CK 的均值向量
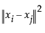
是 x 各元素的平方和的平方根(向量 x 的欧氏长度)
d(xi, xj) 为 
类平均法
类平均连接聚类法的距离计算如下:

重心法
聚类重心法的距离计算如下:

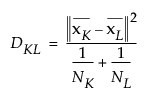
Ward 法
Ward 法距离计算如下:

最短距离法
最短距离聚类法的距离计算如下:

最长距离法
最长距离聚类法的距离计算如下:
