估计方法的统计详细信息在“拟合模型”平台的“广义回归”特质中,估计方法包括惩罚回归方法,这些方法通过赋予回归系数罚值给回归系数引入了偏倚。
岭回归岭回归对回归系数应用 l2 罚值。岭回归系数估计值定义如下:
,
其中,
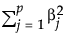
是 l2 罚值,l 是调节参数,N 是行数,p 是变量数。
Dantzig 选择器“Dantzig 选择器”方法对残差与 X 列的内积应用 l∞ 范数。Dantzig 选择器的系数估计值满足以下准则:

其中,
表示 l∞ 范数,
是 l1 罚值,t 是调节参数。l∞ 范数是向量 v 的分量的最大绝对值。
Lasso 回归Lasso 方法对回归系数应用 l1 罚值。Lasso 的系数估计值定义如下:
,
其中,
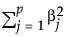
是 l1 罚值,l 是调节参数,N 是行数,p 是变量数
弹性网络“弹性网络”方法组合 l1 和 l2 罚值。“弹性网络”的系数估计值定义如下:
,
这是等式中使用的符号:
是 l1 罚值
是 l2 罚值
l 是调节参数
a 是一个参数,用于确定 l1 和 l2 罚值的组合值
N 是行数
p 是变量数
提示:有两个样本脚本,这两个脚本演示变动单个预测变量的弹性网络中的 a 和 l 的收缩影响。选择帮助 > 样本索引,点击“样本索引”红色小三角,选择“打开样本”>“脚本”,然后选择 demoElasticNetAlphaLambda.jsl 或 demoElasticNetAlphaLambda2.jsl。每个脚本都包含关于使用方法和演示内容的说明。
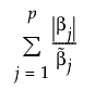
自适应方法自适应 Lasso 方法使用加权罚值来提供一致的系数估计值。l1 罚值的加权形式定义如下:

其中,若 MLE 存在,则
是 MLE。若 MLE 不存在并且响应分布为正态分布,则使用最小二乘法进行估计,而
是使用广义逆矩阵求得的解。若响应分布非正态分布,则
是岭解。
对于自适应 Lasso,这个加权形式的 l1 罚值用于确定
系数。
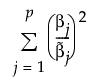
自适应弹性网络使用这个加权形式的 l1 罚值,也应用 l2 罚值的加权形式。自适应弹性网络的 l2 罚值的加权形式定义如下:

其中,若 MLE 存在,则
是 MLE。若 MLE 不存在并且响应分布为正态分布,则使用最小二乘法进行估计,而
是使用广义逆矩阵求得的解。若响应分布非正态分布,则
是岭解。