在“控制图生成器”中,负二项分布用于计算 G 图的 sigma 值。负二项分布是扩展的几何 (Poisson) 分布,允许相对于 Poisson 的过度离散。负二项分布可用于构建计数数据的精确和近似控制限。可基于负二项分布的卡方近似来获得近似控制限。所有数据都用作单个观测,而与子组大小无关。
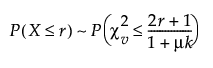
假设 X 服从参数为 (m, k) 的负二项分布,则:

其中:
是使用 v = 2m/(1+mk) 自由度的卡方变量。
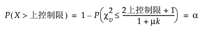
基于以上近似计算,可确定近似的上控制限和下控制限。对于标定 a 水平的一个方向上的第一类错误概率,近似上控制限是上控制限的限值,以使以下等式为真:

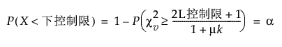
同样,近似的下控制限 (LCL) 是一个使得以下等式为真的限值:

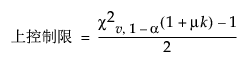
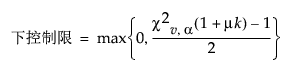
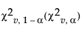
因此,分别使用以下公式计算近似水平的下控制限 (LCL) 和上控制限 (UCL):


其中:
是使用 v = 2m/(1+mk) 自由度的卡方分布的上(下)百分位数。负下控制限可设置为零。
有关负二项控制限的详细信息,请参见 Hoffman (2003)。