发布日期: 03/04/2025

Levey-Jennings 图的统计详细信息

Levey-Jennings 图在“控制图生成器”中提供,它显示过程均值,其控制限基于长期 sigma。控制限位于距离中心线 K*s 远的位置,默认情况下,其中的 K = 3。

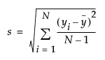
Levey-Jennings 图的标准差 s 计算方法与“分布”平台中的标准差计算方法相同。

此处显示图片

请参见 Levey and Jennings (1950);Westgard (2002)。

需要更多信息?有问题?从 JMP 用户社区得到解答 (community.jmp.com).