您可以使用“多元控制图”平台分析已分子组的观测数。考虑监控 p 个变量且获取大小为 n > 1 的 m 个子组的情况。为每个子组计算 T2 统计量并标绘它。T2 统计量和上控制限 (UCL) 的计算取决于目标统计量的来源。在“阶段 I”图中,限值基于在控制图上标绘的同一数据。在“阶段 II”图中,限值基于从历史数据集计算得出的目标统计量。有关 T2 统计量和 Hotelling T2 控制图的控制限计算的详细信息,请参见 Montgomery (2013)。
对于“阶段 I”控制图,按以下方式定义第 j 个子组的 T2 统计量:

其中:
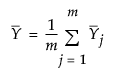
是第 j 个子组的 p 个测量值的 n 个列向量的均值
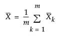
是子组均值的均值
Sj 是第j 个子组中 n 个观测的样本协方差矩阵
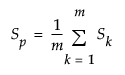
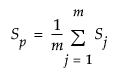
是合并的协方差矩阵,计算为子组内协方差矩阵的均值
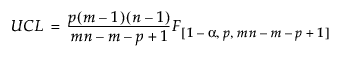
按以下方式定义“阶段 I”的上控制限 (UCL):

其中:
p = 变量数
n = 每个子组的样本大小
m = 子组数
= F
分布的第 (1–a) 分位数
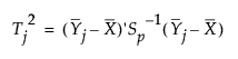
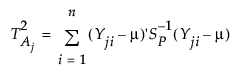
在“阶段 II”控制图中,将从中计算目标统计值的历史数据集定义为 X。然后按以下方式定义第 j 个子组的 T2 统计量:

其中:
是第 j 个子组的 p 个测量值的 n 个列向量的均值
是第 k 个子组(来自历史数据集)中的 p 个测量值的 n 个列向量的均值
是观测的总均值
Sk 是第 k 个子组(来自历史数据集)中的 n 个观测的样本协方差矩阵
是合并的协方差矩阵,计算为子组内协方差矩阵的均值
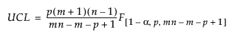
按以下方式定义“阶段 II”上控制限 (UCL):

其中:
p = 变量数
n = 子组样本大小
m = 历史数据集中的子组数
= F
分布的第 (1–a) 分位数
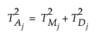
将 mn 个独立正态分布的观测样本分为 m 个大小为 n 的合理子组时,将 T2M 定义为第 j 个子组的均值
与目标值之间的间距。(对于合理子组中的观测,T2M 与上一节中的 T2 等价。)您还可以计算与每个子组中的内部变异性有关的 T2 统计量和围绕目标值的总变异性。T2 统计量的分量是可相加的,很像平方和。具体来说,以下关系对于 m 个子组均成立:

在所有以下定义中,Sp 的定义方式与上一节中相同,根据控制图是“阶段 I”还是“阶段 II”控制图而定。同样,对于“阶段 I”控制图将 m 定义为
,对于“阶段 II”控制图将其定义为
。
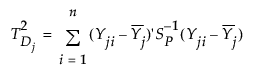
按以下方式定义与第 j 个子组的目标值的间距:

按以下方式定义第 j 个子组的内部变异性:

其中 Yji 是第 j 个子组的 p 个测量值的第 i 个列向量。
按以下方式定义第 j 个子组的总变异性:

其中 Yji 是第 j 个子组的 p 个测量值的第 i 个列向量。
注意:当您从“多元控制图”红色小三角菜单选择保存 T 方或保存 T 方公式选项时,在每行中保存的三个值对应于上述三个定义中的一个 i 值。