质量和过程方法 > 控制图生成器 > “控制图生成器”的统计详细信息 > P、NP 和 Laney P’ 图的统计详细信息
发布日期: 03/04/2025

P、NP 和 Laney P图的统计详细信息

在“控制图生成器”中,分别使用以下公式计算下控制限 (LCL) 和上控制限 (UCL):

P 图下控制限 = 此处显示图片

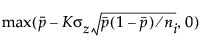
P 图上控制限 = 此处显示图片

NP 图下控制限 = 此处显示图片

NP 图上控制限 = 此处显示图片

Laney P 图下控制限 = 此处显示图片

Laney P 图上控制限 = 此处显示图片

其中:

此处显示图片 是从各个子组中抽取的不合格项的平均比例

此处显示图片

ni 是第 i 个子组中的项数

K 是 sigma 乘数,且默认设置为 3

sz 是根据标准化值计算的移动极差 sigma

需要更多信息?有问题?从 JMP 用户社区得到解答 (community.jmp.com).