发布日期: 03/04/2025

功效的统计详细信息

要计算功效,“单因子”平台使用非中心 F 分布。公式 (O’Brien and Lohr 1984) 定义如下:

功效 = 概率(F > Fcrit, n1, n2, nc)

其中:

F 服从非中心 F(nc, n1, n2) 分布,Fcrit = F(1-α, ν1, ν2)F 分布的 1 - a 分位数,该分布的自由度为 n1n2

n1 = r - 1 是分子自由度。

n2 = r(n - 1) 是分母自由度。

n 是每个组的观测数。

r 是组数。

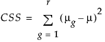
nc = n(CSS)/s2 是非中心参数。

此处显示图片 是校正的平方和。

mg 是第 g 个组的均值。

m 是总体均值。

s2 根据均方误差 (MSE) 来估计。

需要更多信息?有问题?从 JMP 用户社区得到解答 (community.jmp.com).