基本分析 > 分布 > “分布”平台的统计详细信息 > 得分置信区间的统计详细信息
发布日期: 03/04/2025

得分置信区间的统计详细信息

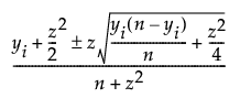
“分布”平台计算分类响应变量的每个水平中的概率的得分置信区间。对于每个响应水平,得分置信区间都定义如下:

此处显示图片

其中:

yi 是第 i 个响应水平中的观测数

n 是观测总数

z 是标准正态分布的第 (a/2) 分位数

请参见 Agresti and Coull (1998)。

需要更多信息?有问题?从 JMP 用户社区得到解答 (community.jmp.com).