发布日期: 03/04/2025

谱密度的统计详细信息

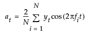
在“时间序列”平台中,傅里叶序列的系数的最小二乘估计值按以下方式计算:

此处显示图片

此处显示图片

之后,与 fi = i/N 进行组合形成周期图 I(fi) = (N/2)(ai2 + bi2),表示频率 fi 处的强度。

对周期图进行平滑处理,同时除以 (4p) 以统一尺度,得到谱密度。

详细信息,请参见 Bloomfield (2004)。

需要更多信息?有问题?从 JMP 用户社区得到解答 (community.jmp.com).