基本分析
>
二元分析
>
“二元”平台的统计详细信息
> “二元正态椭圆”报表的统计详细信息
发布日期: 03/04/2025
“二元正态椭圆”报表的统计详细信息
本节包含“二元”平台中的“二元正态椭圆”报表的详细信息。
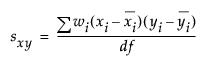
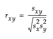
Pearson 相关系数表示为
r
,计算如下:
其中,
其中,
w
i
是第
i
个观测的权重值(若指定了权重列),或为 1(若未指定权重列)。
需要更多信息?有问题?从 JMP 用户社区得到解答
(community.jmp.com)
.
本网站在启用 JavaScript 的情况下效果最佳。